I ) Seja
periódica de per
odo
e definida por
para
Como
é
mpar, teremos uma série de senos cujos coeficientes são:
![]() |
fazendo a mudança de variável
obtemos:
![]() |
Integrando por partes, temos
![]() |
![]() |
|||
![]() |
![]() |
Logo
![]() |
como
![]() |
então
![]() |
Portanto a série de Fourier da função
é:
e seu gráfico é:

II ) Seja
periódica de per
odo
e definida por
![]() |
Como
é uma função par, temos uma série de cossenos, cujos coeficientes são:
![]() |
![]() |
|||
![]() |
![]() |
e
![]() |
fazendo a mudança de variável
obtemos:
![]() |
![]() |
![]() |
Integrando por partes a integral acima, temos
![]() |
![]() |
|||
![]() |
![]() |
|||
![]() |
![]() |
|||
![]() |
![]() |
Logo,
![]() |
como
![]() |
então
![]() |
ou seja,para
temos:
e para
temos:
![]() |
Portanto a série de Fourier da função
é:
![]() |
gráfico da função
Observe que, em virtude do Teorema de Fourier, o s
mbolo
pode ser substitu
do por
. Usando o Teorema de Fourier, para
, obtemos:
![]() |
ou seja,
![]() |
III ) Seja
periódica de pr
odo
e definida por
para
Como
é par, teremos uma série de cossenos cujos coeficientes são:
![]() |
![]() |
fazendo a mudança de variável
obtemos:
![]() |
![]() |
|||
![]() |
![]() |
Integrando por partes, temos
![]() |
![]() |
|||
![]() |
![]() |
da
,
![]() |
Integrando novamente por partes, obtemos
![]() |
![]() |
|||
![]() |
![]() |
|||
![]() |
![]() |
Logo,
![]() |
Portanto a série de Fourier da função
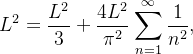
é:
![]() |
O gráfico da função
é dado pela figura 4.5.

Observe que, de fato, tem-se
em vez de
, como consequência do teorema de Fourier. Usando o Teorema de Fourier para
, obtemos:
![]() |
pois
e
sempre terão o mesmo sinal e assim, pela multiplicação dos dois termos, sempre teremos
Ou seja,
![]() |
![]() |