3.2.1 Polinômios de Taylor

O polinômio de Taylor de uma função $f(x)$ em torno de $x=a$ é

  \[  P_{n,a}(x)=f(a)+f’(a)(x-a)+\dfrac {f”(a)}{2!}(x-a)^2+\cdots +\dfrac {f^{(n)}(a)}{n!}(x-a)^ n=\sum _{k=0}^ n \dfrac {f^{(k)}(a)}{n!}(x-a)^ k  \]    

O polinômio de Maclaurin de $f$ é:

  \[  P_ n(x)=f(0)+f’(0)x+\dfrac {f”(0)}{2!}x^2+\cdots +\dfrac {f^{(n)}(0)}{n!}x^ n=\sum _{k=0}^ n \dfrac {f^{(k)}(0)}{n!}x^ k  \]    

que é o polinômio de Taylor de $f$ em torno do ponto $x=0.$ Por exemplo, o polinômio de Maclaurin de $f(x)=\exp x$ é

  \[  P_ n(x)=1+x+\dfrac {x^2}{2!}+\cdots +\dfrac {x^ n}{n!}.  \]    

Theorem 79 (Fórmula de Taylor com resto). Seja $f(x)$ uma função de classe $C^{\infty }$ num intervalo que contém $a$. Dado qualquer $x$ nesse intervalo existe um número real $\xi $ entre $a$ e $x$ tal que

  \[  f(x)=P_{n,a}(x)+R_ n (x)  \]    
onde $R_ n(x)=\dfrac {f^{(n+1)}(\xi )}{(n+1)!}(x-a)^ n,$ e
  \[  P_{n,a}(x)=f(a)+f’(a)(x-a)+\dfrac {f”(a)}{2!}(x-a)^2+\cdots +\dfrac {f^{(n)}(a)}{n!}(x-a)^ n  \]    
Além disso, a sequência $P_{n,a}(x)$ converge para $f(x)$ quando $n\to \infty $ se, e somente se, $\lim _{n\to \infty } R_ n (x)=0.$

Considere a função $G:[a,x]\to \mathbb {R}$ dada por

  \[  G(t)=f(x)-[f(t)+f’(t)(x-t)+\dfrac {f”(t)}{2!}(x-t)^2+\cdots +\dfrac {f^{(n)}(t)}{n!}(x-t)^ n]-R_ n(x)\dfrac {(x-t)^{n+1}}{(x-a)^{n+1}}  \]    

com $a$ e $x$ fixos, onde $R_ n(x)=f(x)-P_{n,a}(x).$ Observe que $G$ satisfaz as seguintes propriedades:

  1. $G(a)=f(x)-P_{n,a}(x)-R_ n(x)=0$

  2. $G(x)=0$

  3. $G$ é contínua no intervalo fechado $[a,x]$ e derivável no intervalo aberto $(a,x)$.

Logo, pelo teorema de Rolle existe um $\xi $ tal que $\xi $ está entre $a$ e $x$ tal que $G’(\xi )=0.$ Mas

  \[  G’(t)=\dfrac {f^{(n+1)}(t)}{n!}(x-t)^ n-(n+1)R_ n(x)\dfrac {(x-t)^{n}}{(x-a)^{n+1}}  \]    

e, portanto, $G’(\xi )=0$ implica em $R_ n(x)=\dfrac {f^{(n+1)}(\xi )}{(n+1)!}(x-a)^ n.$

Note que a soma parcial de ordem $n$ da série $\sum _{k=0}^{\infty } \dfrac {f^{(k)}(a)}{k!}(x-a)^ k$ é $S_ n=P_{n,a}(x)$. Logo,

  \[  \lim _{n\to \infty } S_ n=\lim _{n\to \infty } P_{n,a}(x)=\lim _{n\to \infty }[f(x)-R_ n(x)]=f(x)  \]    

Logo,

  \[  f(x)=\sum _{k=0}^{\infty } \dfrac {f^{(k)}(a)}{k!}(x-a)^ k.  \]    

Example 80. Mostre que a série de potências $\sum _{n=0}^{\infty } \dfrac {x^ n}{n!}$ realmente representa a função $f(x)=e^ x$ para todo $x$ real.

Solução: Ja vimos que $e^ x=\sum _{n=0}^{\infty } \dfrac {x^ n}{n!}$. Falta mostrar que esta série realmente representa a função exponencial $e^ x$. Pela Fórmula de Taylor com resto, temos que

  \[  e^ x=P_ n(x)+R_ n(x)  \]    

onde

  \[  P_ n(x)=1+x+\dfrac {x^2}{2!}+\cdots +\dfrac {x^ n}{n!}  \]    

e

  \[  R_ n(x)=\dfrac {f^{(n+1)}(\xi )}{(n+1)!}(x)^{n+1}=\dfrac {e^{\xi }x^{n+1}}{(n+1)!}  \]    

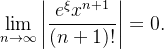
onde $\xi $ está entre $0$ e $x$. Como $\lim _{n\to \infty } \dfrac {|x|^{n+1}}{(n+1)!}=0$ então

  \[  \lim _{n \to \infty } \left| \dfrac {e^{\xi }x^{n+1}}{(n+1)!} \right|=0.  \]    

Logo, realmente a série representa a função $e^ x.$

Example 81. Analise se a série da função $f(x)=\operatorname{sen}x$ realmente a representa.

Solução: Temos que

  \[  f(0)=0, \,  \,  f’(0)=1, \, \,  f”(0)=0, \, \,  f”’(0)=-1, \cdots .  \]    

Além disso,

  \[  f^{(n+1)}(\xi )=\begin{cases}  \pm \operatorname{sen}\xi , \, \,  n \, \,  \mbox{par}\\ \pm \cos \xi , \, \,  n \, \,  \mbox{ímpar} \end{cases}  \]    

e o resto

  \[  |R_ n(x)|=\left| \dfrac {f^{(n+1)} (\xi ) x^{n+1}}{(n+1)!}\right|\leq \dfrac {|x|^{n+1}}{(n+1)!}  \]    

e, $\lim _{n\to \infty } |R_ n(x)|=0 \Rightarrow \lim _{n\to \infty } R_ n(x)=0$ e portanto, a série do $\operatorname{sen}x$ representa essa função.

Remark 82. Uma função $f(x)$ é analítica em $x=a$ quando ela puder ser representada por sua série de Taylor em algum intervalo aberto em torno de $a$.

Um outro resultado que podemos deduzir da fórmula $f(x)=P_ n(x)+R_ n(x)$ é que se aproximarmos o valor de $f(x)$ por $P_ n(x)$ o erro que cometemos é da ordem de $|R_ n(x)|.$

Example 83. Encontre o valor aproximado de $e^{-0.04}$ com erro menor que $5\times 10^{-4}$.

Solução: Temos que

  \[  e^ x=1+x+\dfrac {x^2}{2!}+\cdots +\dfrac {x^ n}{n!}+R_ n(x)  \]    

se aproximarmos

  \[  e^{-0,04}\approx 1-0,04+\dfrac {(0,04)^2}{2!}  \]    

então o erro que cometemos será de

  \[  |R_3 (-0,04)|\leq \dfrac {|(-0,04)^3}{3!}\approx \dfrac {0,000064}{3!}.  \]