Fluxo de um campo sobre uma superf
cie fechada
que é fronteira de uma região
em três dimensões.
Teorema de Gauss. Seja
uma região em três dimensões delimitadas por uma superf
cie fechada
e denotemos por
o vetor normal unitário exterior a
em
Se
é uma função vetorial com derivadas parciais cont
nuas em
então
![]() |
Demonstração: Se
então o teorema de Gauss diz
![]() |
Para provar esta igualdade é suficiente mostrar que
![]() |
![]() |
![]() |
Vamos provar a terceira igualdade.
é a superf
cie de uma região
entre os gráficos de
e
e acima de uma região
do plano-
Sobre
o componente
de
é zero e
Assim
e podemos escrever
![]() |
Para achar uma normal unitária (superior) a
fazemos
![]() |
e calculamos
![]() |
Logo,
Assim, se
e
então
![]() |
Em
fazemos
![]() |
e da
![]() |
Aplicando as integrais sobre superf
cies obtemos
![]() |
Somando as integrais de fluxo sobre
e
temos
![]() |
![]() |
|||
![]() |
![]() |
Analogamente o temos o resultado:
![]() |
Exemplo 1: Seja
a região delimitada pelo cilindro circular reto
e pelos planos
e
Denotemos por
a superf
cie de
Se
Use o Teorema de Gauss para calcular
Solução: Como
![]() |
temos
![]() |
Calculando em coordenadas cilindricas
![]() |
![]() |
|||
![]() |
![]() |
Exemplo 2: Seja
a região delimitada pelo cilindro
pelo plano
e pelos planos
e
Seja
a superf
cie de
Se
calcule
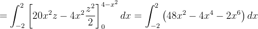
Solução: Por Gauss
![]() |
![]() |
|||
![]() |
![]() |
|||
![]() |
![]() |
|||
![]() |
![]() |