Seja
uma curva plana suave com parametrização
![]() |
Suponha que
seja uma curva fechada simples, isto é, existe somente um único ponto de interseção,
Vamos considerar também que
está orientada positivamente, isto é, ao longo de
a região
que
encerra estará sempre à esquerda quando o ponto
descreve
A integral ao longo de uma curva fechada terá a seguinte notação:
![]() |
e chamaremos a integral curvil
nea ao longo de uma curva fechada simples
Então temos o seguinte resultado importante que é conhecido como o teorema de Green.
Seja
uma curva fechada simples parcialmente suave e seja
a região que consiste de
e seu interior. Se
e
são funções cont
nuas com derivadas parciais primeiras cont
nuas em toda uma região
contendo
então
![]() |
(13) |
Consideremos
uma região do tipo
ou
isto é,
![]() |
![]() |
onde
e
são funções suaves. É suficiente mostrar que
![]() |
(14) |
![]() |
(15) |
Prova de
consiste de duas curvas suaves
e
de equações
e
respectivamente. Da
![]() |
obtemos então que
![]() |
![]() |
|||
![]() |
![]() |
Por outro lado,
![]() |
![]() |
|||
![]() |
![]() |
|||
![]() |
![]() |
segue que:
![]() |
De modo análogo, considerando
como uma região do tipo
prova-se
Ou seja,
![]() |
obtemos então que
![]() |
![]() |
|||
![]() |
![]() |
Por outro lado,
![]() |
![]() |
|||
![]() |
![]() |
|||
![]() |
![]() |
o que prova o teorema.
Se
temos
![]() |
![]() |
A integral ao longo de
é de sinal contrário à integral ao longo de
Portanto,
![]() |
Usando o teorema de Green, calcule
onde
é a curva fechada que consiste nos gráficos de
e
entre os pontos
e
Solução: Pelo teorema de Green:
e
logo
![]() |
![]() |
|||
![]() |
![]() |
|||
![]() |
![]() |
|||
![]() |
![]() |
Usando o teorema de Green, calcule a integral curvil
nea
![]() |
é a elipse
Solução: Pelo teorema de Green, com
temos
![]() |
A integral sempre será zero para qualquer curva fechada.
Calcule
se
é a fronteira da região
delimitada pelos quartos de c
rculo de raio
e
respectivamente, e pelos segmentos de eixo-x e y.
Solução: Por Green
![]() |
![]() |
|||
![]() |
![]() |
|||
![]() |
![]() |
|||
![]() |
![]() |
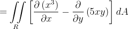
Usando o teorema de Green podemos encontrar uma fórmula para achar a área
de uma região
delimitada por uma curva simples parcialmente suave
Fazendo
e
em
obtemos
![]() |
também se fizermos
e
em
obtemos
![]() |
Da
, podemos estabelecer o seguinte resultado.
Se uma região
do plano-xy é delimitada por uma curva fechada, simples, parcialmente suave
então a área da região
de
é
![]() |
Ache a área da elipse usando o teorema de acima.
![]() |
Solução: As equações paramétricas da elipse são
Da
![]() |
![]() |
|||
![]() |
![]() |
|||
![]() |
![]() |
|||
![]() |
![]() |
O teorema de Green é válido para regiões
que contenha "buracos ". A integração deve ser feita de modo a manter a região
sempre à esquerda de
Assim, se tivermos uma região
cujo contorno exterior seja
e os contornos interiores sejam
temos que
![]() |
onde
são percorridos no sentido contrário aos ponteiros do relógio.
Sejam
e
duas curvas fechadas simples parcialmente suaves que não se interceptam, cada uma tendo a origem
como um ponto interior.Se
![]() |
prove que
![]() |
Solução: Denotando por
a região entre
e
o teorema de Green nos dá
![]() |
e como
![]() |
a integral dupla sobre
é zero. Consequentemente
![]() |
Se
é definida por
prove que
para toda curva fechada simples parcialmente suave que tenha a origem em seu interior.
Solução: Fazendo
então
e
são as mesmas que no exemplo 5. Escolhendo um c
rculo
de raio
e centro na origem e inteiramente contido em
segue que
![]() |
As equações paramétricas de
são
![]() |
obtemos
![]() |
![]() |
|||
![]() |
![]() |
|||
![]() |
![]() |